Propizepine
Propizepine (brand names Depressin, Vagran) is a tricyclic antidepressant (TCA) used in France for the treatment of depression which was introduced in the 1970s.[1][2][3][4]
![]() | |
| Clinical data | |
|---|---|
| Trade names | Depressin, Vagran |
| Routes of administration | Oral |
| ATC code |
|
| Legal status | |
| Legal status |
|
| Identifiers | |
IUPAC name
| |
| CAS Number |
|
| PubChem CID | |
| ChemSpider | |
| UNII | |
| ChEMBL | |
| ECHA InfoCard | 100.030.629 |
| Chemical and physical data | |
| Formula | C17H20N4O |
| Molar mass | 296.37 g/mol g·mol−1 |
Synthesis
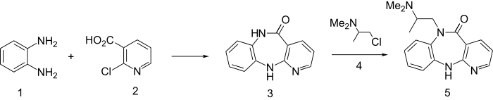
Condensation of 2-chloronicotinic acid (2) with o-phenylenediamine (1) leads directly to the tricyclic lactam (3) Although the reaction involves amide formation and nucleophilic aromatic displacement of chlorine, the order of these steps is not known. Alkylation of the anion obtained by treatment if 3 with the 1-chloro-2-dimethylaminopropane (4) affords the antidepressant compound propizepine (5).
The last step in this sequence there is considerable evidence that such alkylations often proceed via the aziridinium ion. Attack of the anion at the secondary or tertiary carbon of the aziridinium ring will lead to different products. Extensive investigation of this problem (e.g. Promethazine, ethopropazine, etc.) has established that the product from attack at secondary carbon usually predominates.
What this intends to say is that even if the chloroamine used is actually 1-dimethylamino-2-chloro-propane, although could still be a mixture of products one still gets predominantly the same reaction product as above and not the "iso" product.
References
- Swiss Pharmaceutical Society (2000). Index Nominum 2000: International Drug Directory (Book with CD-ROM). Boca Raton: Medpharm Scientific Publishers. p. 888. ISBN 3-88763-075-0.
- David J. Triggle (1996). Dictionary of Pharmacological Agents. Boca Raton: Chapman & Hall/CRC. p. 1680. ISBN 0-412-46630-9.
- Niels F. Muller, Rudolf P. Dessing, European Society of Clinical Pharmacy (1997). European Drug Index, Volume 33. CRC Press. p. 1339. ISBN 3-7692-2114-1.CS1 maint: multiple names: authors list (link)
- Dereux JF (1976). "[Vagran 50: a situational antidepressant]". Semaine des Hôpitaux. Thérapeutique (in French). 52 (7–8): 385–8. PMID 996559.
- Hoffmann, C.; Faure, A.; Bull. Soc. Chim. Fr. 1966, 2316.
- NL 6600065 (1966 to Labs. U.P.S.A.)
| |||||||||||||||||||||||||||||||||||||||||||||||||||||||||||||||||||||||||||||||||||||||||||||||||||||||||||||||||||||||||||||||||||||||||||||||||||||||||||||||||||||||||||||||||||||||||||||
| Classes |
|
|---|---|
| Antidepressants (TCAs and TeCAs) |
|
| Antihistamines |
|
| Antipsychotics |
|
| Anticonvulsants | |
| Others |
|

